A to Z Electrical MCB Circuit Breaker Course in This Post in Knowedge MCB Connection, Wiring, Size Selection, installation, MCB connection wiring Diagram, Single Pole, Two Pole, Three Pole, Four Pole, SPN, DP, SP, TPN, TP, FP, Single Phase and Three Phase MCB Size Calculator AC & DC All types Knowedge for You Free.
What is the MCB?. MCB Kya hai.
English. What is MCB? What does MCB do? Why is MCB installed?
MCB. Friends, MCB is an electric circuit breaker. Which is used in the main power supply line wire circuit of electricals. (LT power supply 220V/240V 415V/440V) Which is used in home or shop or factory company etc. The advantage of which is that if there is any kind of load more than the capacity of MCB in the electric wire (circuit) of the house, it automatically trips and cuts off the electric power supply or in case of any kind of short circuit, it trips and cuts off the power supply. Due to which there is no damage of any kind and it protects from fire. Wherever MCB is installed, it is installed after calculation according to the load. MCB is of both types, Single Phase and Three Phase MCB.
Hindi. MCB kya hoti hai. MCB kya kam krta hai. MCB kyo lgate hai.
MCB. दोस्तों एमसीबी एक इलेक्ट्रिक सर्किट ब्रेकर ( electric circuit breaker ) है. जिसका उपयोग इलेक्ट्रिकल्स के मेन पावर सप्लाई लाइन वायर सर्किट में किया जाता है. ( LT power supply 220V/240V 415V/440V ) जिसका उपयोग घर या दुकान या फैक्ट्री कंपनी इत्याादि में किया जाता है। जिसका फायदा घर के इलेक्ट्रिक वायर ( सर्किट ) में किसी भी तरह का एमसीबी के कैपेसिटी से ज्यादा लोड होने पर ऑटोमेटिक ट्रिप करता है और इलेक्ट्रिक पावर सप्लाई बंद कर देता है या किसी भी तरह का शार्ट सर्कििट होने पर ट्रिप करता है और पावर सप्लाई बंद कर देता है. जिससे किसी भी तरह का नुकसान नहीं होता है जैसे आग लग जाता है उससे बचाता है। एमसीबीी जहां पर भी लगाया जाता है लोड के हिसाब से कैलकुलेशन करके लगाया जाता है. MCB Single Phase और Three Phase MCB दोनों प्रकार का होता है.
MCB Protection?
Overload ओवरलोड
Short circuit शार्ट सर्किट
ON and OFF Control.
MCB inside Parts and Components. MCB Constrction. MCB में लगने वाले पार्ट्स का नाम और समान.
The names of the parts used in MCB are also given in a picture below.
MCB में लगने वाले पार्ट्स का नाम और साथ में ही नीचे एक चित्र में भी बताया गया है.
Operator (ON-OFF)
Operating Mechanism
Space for Identification mark
Thermal Terminal (Incoming Supply)
Thermal Bimetallic Protection
Arc Chamber
Electromagnetic Protection (Solenoid or Magnetic Coil)
Fixed Contacts
Moving Contacts
Lower Terminal (Outgoing Load)
DIN Rail Holder

MCB full form. एमसीबी का पूरा नाम क्या है।
English. MCB full form.
The full name or full form of MCB is Miniature Circuit Breaker. Miniature circuit breaker is an electric circuit breaker that trips on overload short circuit and switches off the power supply line.
Hindi. एमसीबी का पूरा नाम क्या है।
एमसीबी का पूरा नाम या फुल फॉर्म Miniature Circuit Breaker. मिनिएचर सर्किट ब्रेकर होता है यह एक (electric circuit breaker) इलेक्ट्रिक सर्किट ब्रेकर है जो overload short circuit ओवर लोड शार्ट सर्किट पर ट्रिप होता है और पॉवर सप्लाई लाइन ऑफ यानी बन्द कर देता है।
All Type MCB SPN to TPN Video.
MCB type of pole.

The pole type of MCB is of four types, one pole, two pole, three pole and four pole, it also has SPN and TPN.
MCB का पोल टाइप चार प्रकार का होता है एक पोल और दो पोल और तीन पोल और चार पोल इसमें SPN और TPN भी होता है.
Single Pole MCB. 1 pole एक पोल.

Single Pole MCB. Single pole MCB is used only in phase line or it can be understood like this. Single pole MCB connection is only in live wire like only in phase wire and neutral line wire is direct. Talking about its connection diagram, below you can see its connection wiring through diagram and it is explained. How is the connection wiring of single pole MCB done? Whenever single pole MCB is installed on any circuit, if short circuit or overload occurs on that circuit, it gives us protection and rescue. It automatically shuts down the line.
Single Pole MCB. सिंगल पोल, एमसीबी का उपयोग सिर्फ फेज लाइन में किया जाता है या ऐसे भी समझा जा सकता है। सिंगल पोल, एमसीबी का कनेक्शन सिर्फ लाइव वायर में होता है जैसे सिर्फ फेज वायर में और न्यूट्रल लाइन वायर डायरेक्ट होता है। इसके कनेक्शन डायग्राम की बात करें तो नीचे आपको डायग्राम के माध्यम से इसकी कनेक्शन वायरिंग किया गया है और बताया गया है। सिंगल पोल, एमसीबी का कनेक्शन वायरिंग कैसे होता है। जब भी कहीं पे सिंगल पोल का एमसी किसी भी सर्किट पर लगाया जाता है तो शॉर्ट सर्किट और ओवरलोड उस सर्किट पर होता है तो यह हमें प्रोटेक्शन और बचाव देता है। ऑटोमेटिक लाइन को बंद कर देता है।

DP MCB / Double Pole. 2 pole दो पोल.

Double pole MCB is used when two line wires need to be controlled in a circuit. Like one is phase line and the other is neutral line. It is installed at the place where two lines need to be turned on and off. Also, if any short circuit overload on the circuit on which it is installed exceeds the capacity of MCB, then it gives us protection. It protects and automatically switches off the line. Double pole MCB has two line wire inputs.
DP MCB. Talking about the wiring and connection of double pole MCB, double pole MCB has two line wire input. There is two line wire output and talking about its connection diagram, it is shown in the diagram image below. How to use double pole MCB anywhere? How is the connection wiring done?
Double Pole MCB. डबल पोले, एमसीबी का उपयोग वहां पर किया जाता है जब किसी सर्किट में दो लाइन वायर को कंट्रोल करना होता है। जैसे एक में फेज लाइन दूसरा न्यूट्रल लाइन दो लाइन को कंट्रोल करना है। ऑन ऑफ करना है उस जगह पर इसे लगाते हैं। साथ में जिस भी सर्किट पर लगाया जाता है उस सर्किट पर किसी भी तरह से शॉर्ट सर्किट ओवरलोड MCB की कैपेसिटी से ज्यादा होता है तो यह हमें प्रोटेक्शन देता है। बचाव करता है और ऑटोमेटिक लाइन को बंद कर देता है। डबल पोले, एमसीबी के अंदर दो लाइन वायर इनपुट होता है।
DP MCB. डबल पोल, एमसीबी की वायरिंग और कनेक्शन की बात करें तो डबल पोल, एमसीबी में दो लाइन वायर इनपुट होता है। दो लाइन वायर आउटपुट होता है और इसकी कनेक्शन डायग्राम की बात करें तो नीचे आपको डायग्राम इमेज में दिखाया गया है। कहीं पर भी डबल पोले एमसीबी का उपयोग कैसे करते हैं? कनेक्शन वायरिंग कैसे किया जाता है?
DP MCB to Single Pole MCB Connection Wiring Full Video.

TP MCB / Three Pole MCB. 3 pole तीन पोल.

Use Three Pole MCB / TP MCB. Three pole MCB is used in three phase line. Like there is a motor running on three phases or a welding machine running on three phases or any type of machine which runs on 3 phase line. Three pole MCB is used and installed there. Talking about the connection wiring of Three Pole MCB, you are shown in the diagram image below. How is the connection wiring of three pole MCB done?
Three Phase Line MCB. 3 Phase Line
R. RED लाल
Y. YELLOW पीला
B. BLUE ब्लू
Use Three Pole MCB / TP MCB. तीन पोल का एमसीबी का उपयोग थ्री फेज लाइन में किया जाता है। जैसे तीन फेज से चलने वाला सिर्फ कोई मोटर है या थ्री फेज से चलने वाला कोई वेल्डिंग मशीन या किसी भी प्रकार का कोई मशीन है जो 3 फेज लाइन से चलता है। वहां पर तीन पोल का एमसीबी का उपयोग किया जाता है और लगाया जाता है। Three Pole MCB का कनेक्शन वायरिंग की बात करें तो आपको नीचे डायग्राम इमेज में दिखाया बताया गया है। तीन पोल की MCB का कनेक्शन वायरिंग कैसे होता है?
FP MCB / Four Pole MCB. 4 pole चार पोल.

4 Pole MCB. Four pole MCB is used in 3 phase main line. It has four line circuit wire input and four line circuit wire output. Four pole MCB has 3 phase line connection and one neutral line connection. Four pole MCB is used or installed to control the main line in any house or any shop or any office or any type of machine or any type of panel DB. Talking about the connection wiring of 4 Pole MCB, the diagram image of the connection wiring of four pole MCB is given below, which you can understand by looking at. How is the connection wiring of four pole MCB done?
Three Phase Line MCB. 3 Phase Line & Neutral.
R. RED लाल
Y. YELLOW पीला
B. BLUE ब्लू
N. NEUTRAL न्यूट्रल
4 Pole MCB. चार पोल एमसी का उपयोग 3 फेज मैंन लाइन में किया जाता है। इसमें चार लाइन circuit वायर इनपुट होता है और चार लाइन circuit वायर आउटपुट किया जाता है। चार पोल MCB के अंदर 3 फेज लाइन का कनेक्शन होता है और एक न्यूट्रल लाइन का कनेक्शन होता है। किसी भी घर या किसी भी दुकान या किसी भी ऑफिस या किसी भी प्रकार का मशीन या किसी भी प्रकार के पैनल DB के अंदर मैंन लाइन को कंट्रोल करने के लिए चार पोल का एमसीबी का उपयोग किया जाता है या लगाया जाता है। 4 Pole MCB का कनेक्शन वायरिंग की बात करें तो चार पोल MCB की कनेक्शन वायरिंग का डायग्राम इमेज आपको नीचे दिया गया है जिसमें आप देख करके समझ सकते हैं। चार पोल MCB का कनेक्शन वायरिंग कैसे होता है?

SPN MCB / Single Pole and Neutral. What is SPN MCB. SPN MCB kya hai.

SPN MCB. SPN MCB is an electric circuit breaker. It looks like a double pole MCB and the connection in it is also done to control the on and off of both the power supply lines (Neutral & Phase). But in SPN MCB there is an oxide isolator point in which the neutral line is connected and the other side is MCB point in which the phase line is connected. SPN MCB is used at the place where double pole MCB is installed.
SPN MCB Connection. While making connections in SPN MCB, the connection is always done keeping in mind that the neutral line has to be connected on the same side where the isolator point is and the phase line has to be connected from the same side where the MCB connection point is. If the connections are made in the reverse direction then problems may arise, like there is a phase line connection in the isolator point and in case of a short circuit or leakage phase to earth fault, the MCB does not trip, leading to an accident, but on connecting the side phase line of the MCB, the MCB will trip in case of any kind of short circuit or leakage to earth from the phase line and it closes both the lines from the neutral simultaneously because the switch point for turning on and off the SPN MCB is connected to the S-leator and the MCB, both the points turn on and off simultaneously.
SPN MCB. एसपीएन एमसीबी यह एक इलेक्ट्रिक सर्किट ब्रेकर Electric circuit breaker है देखने में डबल पोल एमसीबी की तरह दिखाई देता है और इसमें कनेक्शन भी न्यूट्रल फेज Neutral & Phase दोनों पावर सप्लाई लाइन को चालू बंद ( ON OFF ) कंट्रोल करने के लिए किया जाताा है पर एसपीएन एमसीबी में एक्साइड आइसोलेटर पॉइंट होता है जिसमेंं न्यूट्रल लाइन Neutral Line का कनेक्शन किया जाता है और दूसरे साइट एमसीबी पॉइंट होता है और इसमें फेज लाइन Phase Line का कनेक्शन किया जाता है । SPN MCB का उपयोग उस जगह पर किया जाता है जहां पर डबल पोल एमसीबी लगता है।
SPN MCB Connection. एसपीएन एमसीबी में कनेक्शन करते समय हमेशा ध्यान में रखते हुए कनेक्शन किया जाता है जिधर आइसोलेटर पॉइंट है उसी साइड न्यूट्रल लाइन का कनेक्शन करना होगा और जिधर एमसीबी कनेक्शन पॉइंट है उसी साइड से फेज लाइन करना होगा अगर उल्टा कनेक्शन करते हैं तो समस्या आ सकती है जैसे आइसोलेटर पॉइंट में फेज लाइन कनेक्शन होता है और उसमें शॉर्ट सर्किट या लीकेज फेज टू अर्थ फॉल्ट होने पर एमसीबी ट्रिप नहीं होती है जिससे दुर्घटना हो जाती है पर एमसीबी के साइड फेज लाइन का कनेक्शन करने पर किसी भी तरह का फेज लाइन से शॉर्ट सर्किट या लीकेज टु अर्थ पर एमसीबी ट्रिप करेगा और यह न्यूट्रल से दोनों लाइन को एक साथ बंद कर देता है क्योंकि एसपीएन एमसीबी के चालू बंद ON OFF करनेे वाला स्विच पॉइंट एस लेटर और एमसीबी दोनों आपस मेंं कनेक्ट होताा है दोनों पॉइंट एक साथ चालू बंद ON OFF होता है।
6 way MCB Box in MCB Connection Wiring. SPN MCB to Single Pole MCB Connection.
TPN MCB Circuit Breakers. Three Pole MCB and Neutral.

TPN MCB. TPN MCB is an electric circuit breaker. It contains three MCB and one isolator circuit breaker TP 3 pole MCB and 1 N, Neutral isolators. In this, three phase and neutral line connection (3Phase and Neutral) is done. It is installed at the place where three phase power supply line is used. It looks like charcoal MCB but it is a three pole MCB and one pole isolator.
Use TPN MCB. TPN MCB is used in place of four pole MCB. Four pole MCB has all four poles in it but TPN MCB has an isolator for neutral.
TPN MCB. टीपीएन एमसीबी एक इलेक्ट्रिक सर्किट ब्रेकर Electric circuit breaker है इसमें तीन एमसीबी और एक आइसोलेटर सर्किट ब्रेकर TP 3 pole MCB and 1 N, Neutral isolators होता है इसमें तीन फेेेेज और न्यूट्रल लाइन का कनेक्शन ( 3Phase and Neutral ) किया जाता है यह उस जगह पर लगाया जाता हैै जहां पर थ्री फेस पावर सप्लाई लाइन का यूज़ होता है। यह देखने में चारकोल एमसीबी की तरह दिखाई देता है लेकिन इसमें तीन पोल एमसीबी होता हैै और एक पोल आइसोलेटर होता है।
Use TPN MCB. TPN MCB का उपयोग चार पोल MCB के जगह पर किया जाता है चार पोल MCB में चारों पोल MCB होता है, लेकिन टीपीएन एमसीबी में एक न्यूट्रल के लिए आइसोलेटर होता है।
TPN to SPN MCB Box Connection Wiring.
Mini MCB Circuit Breakers. Mini MCB Connection wiring. What is the mini MCB Circuit Breakers.

mini MCB. There is a mini MCB in electrical MCB circuit breaker. This means that it is made in a small size. It can be fitted in a board or a box. It works like an MCB. Its size is smaller than the normal MCB size, as shown in the image below.
Mini MCB wiring Connection and Use. The connection and wiring of mini MCB is done like normal MCB. It works anywhere. Just like normal MCB works on short circuit and overload. In this way mini MCB works on short circuit and overload. Mini MCB is installed anywhere in small places.
Mini MCB. इलेक्ट्रिकल एमसीबी सर्किट ब्रेकर में एक मिनी MCB होता है। इसका मतलब ये होता है कि यह छोटा आकार में बनाया जाता है। जैसे किसी बोर्ड में लग जाए, किसी बॉक्स में लग जाए। MCB की तरह काम करता है। बस इसका आकार छोटा होता है। नॉर्मल MCB साइज के मुकाबले जैसे कि नीचे आपको इमेज में दिखाया गया है।
Mini MCB wiring Connection and Use. मिनी MCB का कनेक्शन और वायरिंग नॉर्मल MCB की तरह किया जाता है। कहीं पर भी और यह काम करता है। जिस तरह से नॉर्मल MCB शॉर्ट सर्किट और ओवरलोड पर काम करता है। इस तरह से मिनी एमसी शॉर्ट सर्किट और ओवरलोड पर काम करता है। कहीं पर भी छोटे जगह पर मिनी MCB को लगाया जाता है।

Isolator MCB. what is isolator MCB. MCB isolator. isolator MCB kya hai.

Electrical Isolator MCB. Isolator MCB is used at that place. The line power of the circuit on which it is installed is only controlled on and off. Isolator does not provide any kind of short circuit overload protection. That is why it is installed only in the main line anywhere. It is not a protection device in any way for just on-off switch or just to turn on and off and it is mostly seen in red color, its lever switch which is turned on and off, but you can see it in other colors also, but there is a difference between MCB and isolator which is shown and explained to you through the diagram below.
Isolator MCB Kya Hota hai. आइसोलेटर MCB का उपयोग उस जगह पर किया जाता है। जिस भी सर्किट पर लगाया जाता है उस सर्किट का लाइन पावर सिर्फ ऑन ऑफ कंट्रोल किया जाता है। आइसोलेटर से किसी भी प्रकार का शॉर्ट सर्किट ओवरलोड प्रोटेक्शन नहीं देता है। इसलिए कहीं पर भी इसे सिर्फ मैंन लाइन में लगाया जाता है। सिर्फ ऑन ऑफ स्विच के लिए या सिर्फ ऑन ऑफ चालू बंद करने के लिए यह किसी भी तरह से प्रोटक्शन डिवाइस नहीं होता है और यह लाल रंग का ज्यादातर इसका लीवर स्विच जिसे ऑन ऑफ करते हैं, वह दिखाई देता है पर और भी कलर में आपको देखने के लिए मिल सकता है, लेकिन MCB और आइसोलेटर में फर्क होता है जो नीचे आपको डायग्राम के माध्यम से दिखाया और बताया गया है।

MCB VS Isolator. In MCB and Isolator, MCB is our protection device. In case of any kind of short circuit overload on the circuit on which MCB is installed, it gives us protection. But here your isolator is just an on-off control switch. It does not provide any kind of protection or rescue.
MCB और Isolator. MCB और आइसोलेटर में MCB हमारा प्रोटक्शन डिवाइस है। जिस भी सर्किट पर MCB को लगाया जाता है, उस सर्किट पर किसी भी प्रकार से शॉर्ट सर्किट ओवरलोड होता है तो यह हमें प्रोटेक्शन देता है। पर यहां पे आपका आइसोलेटर सिर्फ ऑन ऑफ कंट्रोल स्विच होता है। यह किसी भी तरह से प्रोटेक्शन और बचाव नहीं देता है।

Isolator MCB Pole Type?. Isolator MCB comes in three pole types. Double pole, 3 pole and four pole.
Isolator MCB Pole Type?. आइसोलेटर MCB का तीन प्रकार पोल टाइप आता है। डबल पाल, 3 पोल और चार पोल।

Three Phase isolator MCB Box Connection wiring Full Video.
DC MCB. What is DC MCB. DC MCB kha lgta hai.

DC MCB Use. DC MCB circuit breaker is used in DC line or DC current. It can be understood like this also but inside DC line mostly DC MCB is used in solar system. Inside DC DB box.
Use DC MCB. डीसी एमसीबी सर्किट ब्रेकर का उपयोग डीसी लाइन में किया जाता है या डीसी करंट में किया जाता है। ऐसे भी समझ सकते हैं लेकिन डीसी लाइन के अंदर ज्यादातर डीसी MCB का उपयोग सोलर सिस्टम में किया जाता है। डीसी डीबी बॉक्स के अंदर।

SPN MCB VS DP MCB Difference. DP MCB और SPN MCB में क्या अन्तर है.

SPN VS DP MCB. DP MCB and SPN MCB both are double moment MCB. It is used anywhere to control on-off of two lines and also for protection. DP MCB has both MCB. SPN MCB has one isolator and one MCB.
DP MCB और SPN MCB में क्या अन्तर है. डीपी एमसीबी और SPN एमसी दोनों डबल पल का MCB है। इसका उपयोग कहीं पर भी दो लाइन को ऑन ऑफ कंट्रोल करने के लिए और साथ में प्रोटेक्शन बचाव के लिए लगाया जाता है। डीपी एमसीबी में दोनों MCB होता है। एसपीएन MCB में एक आइसोलेटर और एक एमसीबी होता है।
MCB Amp Size.
0.5A, 1A, 2A, 3A, 4A, 6A, 10A, 13A 16A, 20A, 25A, 32A, 40A, 50A, 63A, 80A, 100A, 125A….etc for MCB.
MCB Amp. MCB is normally available from 0.5 Amp to 100 Amp. In some markets, but if we talk about its size, then it is also available up to 125 ampere and 150 ampere. But it is not available everywhere. It is not made by every company. Some companies make certain sizes. Some sizes are not made. Therefore, there is a load up to 100 Amps. MCB is installed at that place and it is better and successful till then. Therefore, almost every company makes MCB within 100 amperes.
MCB Size. But at some places, you get to install MCB of more than 100 Amp, 250 Amp or even more. Along with this, the voltage of MCB also changes. Both DC MCB and AC MCB are available in different sizes at different places in different countries.
Amp MCB Circuit Breakers. MCB 0.5 एम्पीयर से लेकर के 100 Amp तक नॉर्मली जनरली मिलता है। कुछ मार्केट में लेकिन इसकी साइज की बात करें तो 125 Amp 150 Amp तक भी देखने के लिए मिलता है। पर हर जगह पर यह नहीं मिलता है। हर कंपनी नहीं बनती है। कुछ कंपनी कुछ साइज बनती है। कुछ साइज नहीं बनती है। इसलिए 100 Amp तक का लोड है। उस जगह पर MCB को लगाया जाता है और वही तक बेटर और सक्सेस और कामयाब है। इसलिए 100 Amp के अंदर में लगभग हर कंपनी एमसी बनती है।
MCB Size. लेकिन कुछ जगहों पर 100 Amp से ज्यादा 250 Amp या इससे भी अधिक Amp की एमसी देखने के लिए लगाने के लिए मिलता है। साथ में MCB की वोल्टेज भी चेंज हो जाता है। DC MCB और AC MCB दोनों अलग-अलग जगह पर अलग-अलग कंट्री के अंदर अलग-अलग साइज देखने के लिए मिल जाता है।
MCB Size Calculator. MCB Size Sellection. MCB Calculate.
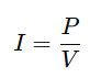
DC MCB Size Calculate.
Step 1: Determine Load Current (I)
Use the formula:

where:
- P = Total Power in Watts (W)
- V= Voltage (V)
- I = Current (Amp)
Step 2: Apply Safety Factor
MCB should be rated at +25% of the load current to prevent nuisance tripping.
MCB Size= I+25% MCB
Example Calculation
Given:
- Load Power (P) = 1500W (1.5kW) 1KW=1000 watt
- Voltage (V) = 48V

Simple Calculate MCB Size. 1500÷48=31.25+25%=39.0625 Ans, MCB Size Available 40 Amp.
AC Line MCB Size Calculate.
✅ Step 1: Identify Key Parameters
- Power Consumption (P) – In watts (W) or kilowatts (kW)
- Voltage (V) – Usually 230V (single-phase)
- Power Factor (pf) – Typically 0.85 to 0.95 for AC units
- Starting Current (Inrush Current) – AC units have a higher starting current, so using a Type C MCB is standard.
✅ Step 2: Calculate Running Current (I)
For Single-Phase AC:

✅ Step 3: Apply Safety Factor
- 1.25× for continuous loads (to prevent overheating).
MCB Size= I×1.25 MCB
✅ Step 4: Select the Right MCB Type
- Type B – For resistive loads (e.g., lights, heaters)
- Type C – For moderate inductive loads (e.g., motors, fans)
- Type D – For high inductive loads (e.g., large motors, transformers)
✅ Example Calculation
Suppose you have a consuming 1800W at 230V (Single-phase), and the power factor is 0.9.
- Running Current Calculation:

Calculate MCB Size. AC Line 230V
Step 1. 230×0.9=207
Step 2. 1800÷207=8.6956521739, Approx 8.7A
Step 3. 1.25× for continuous loads (to prevent overheating) 8.7×1.25=10.875 Ans, MCB Size Available 13/16 Amp.
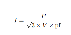
3 Phase MCB Circuit Breaker Size Calculate.
✅ Step 1: Identify Key Parameters
- Power Consumption (P) – in watts (W) or kilowatts (kW)
- Voltage (V) – 400V (typical for 3-phase systems)
- Power Factor (pf) – Usually 0.85 to 0.95 for inductive loads (motors, compressors)
- Type of Load – Resistive or inductive (affects MCB type selection)
✅ Step 2: Calculate the Running Current (I)
For a 3-phase load, use this formula:

Where:
- I = Current in Amps (A)
- P = Power in Watts (W)
- V = Voltage (400V for 3-phase systems)
- 3 =1.732 (Constant for 3-phase systems)
- pf = Power factor (0.85–0.95 for most loads)
✅ Step 3: Apply a Safety Factor
MCB should be oversized by 25% to account for startup surges and continuous operation:
MCB Size=I×1.25
✅ Step 4: Select the Right MCB Type
- Type B – For resistive loads (lights, heaters)
- Type C – For moderate inductive loads (motors, pumps) – Most common for 3-phase
- Type D – For heavy inductive loads (large motors, compressors)
✅ Example Calculation
Suppose you have a 3-phase motor rated at 10 kW, 400V, with a power factor of 0.9.
- Calculate the Running Current:

- Apply the Safety Factor

✅ Recommended MCB Size: 20A.
MCB type. What is MCB type.
type of MCB. There are five types of MCBs but it is not necessary that every type of MCB is available in every market and at every place. But what does each type of MCB do? Let us know about it in detail below.
MCB Type. There are five types of MCBs but it is not necessary that every type of MCB is available in every market and at every place. But what does each type of MCB do? Let us know about it in detail below.
B, C, D, K, Z, type of MCB.
Which MCB is used where?.
As we all know MCB is used at domestic and industrial level, therefore it is made in different types. It is mainly of five types. The list of which is given below. To know all these well, we will use an example for which we will assume the full load current or rated current of MCB to be 10 Amp. We have mentioned all the MCBs below according to 10 Amp.
MCB use कहां पर कौन सा एमसीबी उपयोग किया जाता है।
जैसा कि हम सब जानते हैं एमसीबी का इस्तेमाल घरेलू और औद्योगिक स्तर पर किया जाता है इसलिए इसे अलग अलग प्रकार का बनाया जाता है यह मुख्यतः पांच प्रकार की होती हैं. जिन की सूची नीचे दी गई है.इन सभी को अच्छे से जानने के लिए हम एक उदाहरण का इस्तेमाल करेंगे जिसके लिए हम MCB का Full Load करंट या Rated करंट 10 Amp. मानेंगे 10Amp के हिसाब से हमने नीचे बताया है सभी MCB को.
Type – B
B Type MCB is used in Resistive and Domestic.
Time Operating 0.04 sec to13 sec.
Tripping Current 3-5 times of FLC.
B Type MCB – If any MCB is of 10A then its load taking capacity is upto 10A but if suddenly the load from 30A to 50A flows on it then it MCB trips within 0.04 seconds to 13 seconds.
B Type MCB ka उपयोग Resistive and Domestic में होता है.
संचालन समय 0.04 सेकंड से 13 सेकंड.
ट्रिपिंग करंट FLC का 3-5 गुना।
B Type MCB अगर कोई MCB 10A की है तो लोड लेने का ताकत 10A तक है लेकिन इसपर अचानक लोड 30A से 50A Flow हो जाता है तो 0.04 सेकेंड से लेकर 13 सेकेंड में MCB ट्रिप कर जाता है.
Type – C
C Type MCB is used in Commercial and industrial.
Time Operating 0.04 sec to 5 sec.
Tripping Current 5-10 times of FLC.
C Type MCB and similarly if any MCB is of 10A then its load taking capacity is upto 10A but if suddenly load of 50A to 100A flows on it then MCB trips within 0.04 seconds to 5 seconds.
C Type एमसीबी का उपयोग वाणिज्यिक और औद्योगिक क्षेत्रों में किया जाता है।
संचालन समय 0.04 सेकंड से 5 सेकंड।
ट्रिपिंग करंट FLC का 5-10 गुना।
C Type MCB और इसी प्रकार अगर कोई MCB 10A की है तो लोड लेने का ताकत 10A तक है लेकिन इसपर अचानक लोड 50A से 100A Flow हो जाता है तो 0.04 सेकेंड से लेकर 5 सेकेंड में MCB ट्रिप कर जाता है.
Type – D
D Type MCB is used in Hing Starting Current.
Time Operating 0.04 sec to 3 sec.
Tripping Current 10-20 times of FLC.
And similarly if any TYPE-D MCB is of 10A then its load taking capacity is upto 10A but if suddenly the load on it flows from 100A to 200A then the MCB trips within 0.04 seconds to 3 seconds.
डी टाइप एमसीबी का उपयोग हिंग स्टार्टिंग करंट में किया जाता है।
संचालन समय 0.04 सेकंड से 3 सेकंड।
ट्रिपिंग करंट एफएलसी का 10-20 गुना।
और इसी प्रकार अगर TYPE- D कोई MCB 10A की है तो लोड लेने का ताकत 10A तक है लेकिन इसपर अचानक लोड 100A से 200A Flow हो जाता है तो 0.04 सेकेंड से लेकर 3 सेकेंड में MCB ट्रिप कर जाता है.
Type – K
K Type MCB is used in X Ray/Welding Machine.
Time Operating 0.1 sec.
Tripping Current 8-12 times of FLC.
And similarly if the TYPE-K MCB is of 10A then its load taking capacity is upto 10A but if suddenly the load on it flows from 80A to 120A then the MCB trips in 0.1 second.
K प्रकार MCB का उपयोग एक्स रे/वेल्डिंग मशीन में किया जाता है।
संचालन समय 0.1 सेकंड।
ट्रिपिंग करंट FLC का 8-12 गुना।
और इसी प्रकार अगर TYPE- K का एमसीबी 10A की है तो लोड लेने का ताकत 10A तक है लेकिन इसपर अचानक लोड 80A से 120A Flow हो जाता है तो 0.1 सेकेंड में MCB ट्रिप कर जाता है.
Type – Z
Z Type MCB is used in Semi Conductor.
Time Operating 0.1 sec.
Tripping Current 2-3 times of FLC.
This is called high sensitive mcb. Because it trips in a very short time but at the same time it protects our system by sensing even small faults. If 2 to 3 times current above its capacity passes through Z type mcb, then this mcb will also trip in less than 0.01 second. And similarly if the TYPE-C mcb is of 10A then its load taking capacity is up to 10A but if suddenly the load on it is 20A to 30A then the mcb trips in 0.1 second.
Z प्रकार MCB का उपयोग सेमी कंडक्टर में किया जाता है।
संचालन समय 0.1 सेकंड।
ट्रिपिंग करंट FLC का 2-3 गुना।
इसको हाई सेंसटिव mcb कहा जाता है। क्योंकि यह काफी कम समय मे ट्रिप तो होती है पर साथ साथ काफी छोटे फाल्ट को भी सेंस करके हमारे सिस्टम को सुरक्षा देती है। अगर Z type mcb मे से उसकी कैपेसिटी के ऊपर 2 से 3 गुना करंट निकलता है, तो यह mcb भी 0.01 सेकंड से कम समय मे ट्रिप हो जाएगी। और इसी प्रकार अगर TYPE- C का एमसीबी है 10A की है तो लोड लेने का ताकत 10A तक है लेकिन इसपर अचानक लोड 20A से 30A Flow हो जाता है तो 0.1 सेकेंड में MCB ट्रिप कर जाता है.
MCB Connection wiring Video A to Z Complete.
3 Phase Main Line Phase selector Box Connection wiring Video.
MCB Video Full. Main Line MCB Connection Wiring Control System Isolator and SPN and DP MCB and Single Pole MCB and MCO, MCB Chaneover.
TPN MCB Box to SPN Connection wiring Video.
MCB Box In Main Board Control Connection Main Line Generator Line MCB Changeover Out Branch Circuit Connection Wiring Video.
100 Amp Load MCB Box in Connection wiring Full Video.
MCB Box Wiring Connection Full Video.
Three Phase Main Board Video.
16 way MCB Box wiring Connection Full Video.
16 Way MCB Box Full Connection wiring Video.
MCB Box and Main Board full Video.
MCB Changing Video.
SPN MCB and DP MCB and MCB Changeover wiring Connection.
6 way MCB Box in MCB Connection Wiring. SPN MCB to Single Pole MCB Connection.
MCB Tripping Testing Video.
MCB testing Phase Neutral and Earth Work Full Video.
Anchor MCB Testing Video.
X7 MCB Testing Video full.
Kolors MCB Testing Video.
Vguard MCB tripping Testing Video.
Best MCB Sellection Video.
और अधिक जानकारी के लिए या इलेक्ट्रिक से संबंधित किसी भी जानकारी के लिए अगर आप कोई वीडियो देखना चाहते हैं तो आप हमारे इलेक्ट्रिक वर्क सेंटर यूट्यूब ( Electric work center ) चैनल पर देख सकते हैं या पढ़ने के लिए हमारे इलेक्ट्रिक वर्क सेंटर डॉट कॉम electricworkcenter.com पर पढ़ सकते हैं ।
Thank you for watching and reading
